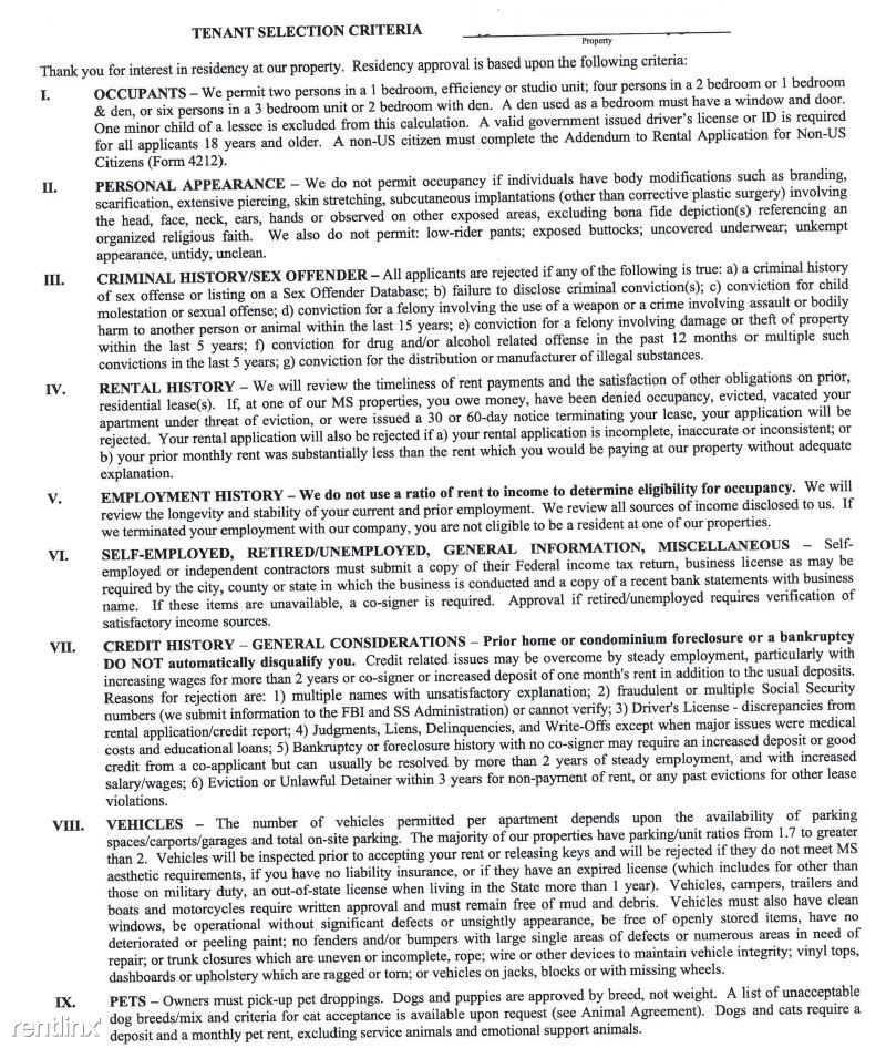
Rent BC
  • Places
  • Landlords
  • Favorites
  • Help
    About Colleges & Universities Scam & Fraud Guidance FAQ Disclaimer
    Terms of Use Privacy Policy
    Contact Support Report a Problem
    Post My Ad Visit EMG.ca
  • Login
  • Back
  • Add To Favorites
  • Inquire Now
  • Call Landlord
Previous Next
9931 Hyatt Resort Dr
Apartment
9931 Hyatt Resort Dr SAN ANTONIO, TX

From $1,791

  • 2 bed
  • 2 bath
  • 1340 sqft
brought to you by
It's easy to love life here! Located in the prestigious Westover Hills you'll be convenient to Lackland AFB and Kelly USA! Covered parking and direct-access garages are available as well as Wi-Fi in the clubhouse, business center and poolside! Spectacular amenities include a resort-style pool and spa, a theater with surround sound, fitness center with HDTV and a business center with high speed Internet. You'll never run out of things to do on-site with all the fabulous amenities available. Interior features include ceiling fans, washer and dryer hookups, individual climate control, window coverings, a fully-equipped kitchen, spacious patios/balconies plenty of storage space and more! * Pricing and availability change daily. Call for the most updated information. * Images are representative of the property, not necessarily the unit.
Furnished:
Yes
Listing ID:
3244002
Rentlinx ID#:
6907746
Distance to campus:
1875.39 mi

Features

  • Internet Ready
  • Dishwasher
  • Electricity Included
  • Gas Included
  • Water Included

Amenities

  • Pool
  • Unfurnished
  • Parking
  • Exercise Facility
  • Garage
  • Yard
(210) 718-0173

Listings close to this one

24442 N Us Hwy 281
24442 N Us Hwy 281 San Antonio, TX
$1,560
Apartment
  • 2 Bed
  • 2 Bath
  • 1118-Sqft
  • 1899.39-mi
  • Ad# 3908883
24442 N Us Hwy 281
24442 N Us Hwy 281 San Antonio, TX
$1,860
Apartment
  • 3 Bed
  • 2 Bath
  • 1227-Sqft
  • 1899.39-mi
  • Ad# 3908893
24442 N Us Hwy 281
24442 N Us Hwy 281 San Antonio, TX
$1,500
Apartment
  • 2 Bed
  • 2 Bath
  • 994-Sqft
  • 1899.39-mi
  • Ad# 3908874
24442 N Us Hwy 281
24442 N Us Hwy 281 San Antonio, TX
$1,308
Apartment
  • 1 Bed
  • 1 Bath
  • 840-Sqft
  • 1899.39-mi
  • Ad# 3908899
Powered by Off-Campus Housing 101
Favorites
Places Roommates